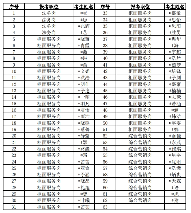
現將2024年校園招聘入圍面試名單公告如下:


掃描上方二維碼咨詢秋招問題

掃描上方二維碼進群進行交流
原標題:太倉農村商業銀行2024年校園招聘面試公告
文章來源:http://www.tcrcb.com/tcrcb/gywm/rczp56/1096803/index.html
重要提醒:本網站所發布內容為轉載資訊,供您瀏覽和參考之用,請您對相關內容自行辨別及判斷,本網站對此不承擔任何責任。凡私自告知添加聯系方式、保證無條件入職、收取各種費用等信息,請保持高度警惕,防止上當受騙造成各種損失。


掃描上方二維碼咨詢秋招問題

掃描上方二維碼進群進行交流
免責聲明:本網站所發布內容為轉載資訊,作為轉載主體并不承擔崗位真實性核查責任,僅供您瀏覽和參考之用,請您對相關內容自行辨別及判斷,本網站不承擔任何責任。如有內容、版權等問題請與本網聯系刪除。

最新推薦
銀行招聘信息發布網站 銀行招聘網 CopyRight 2004-2023 南京東吳教育咨詢有限公司 版權所有 網站地圖 蘇ICP備15008912號-5